subtitle.gif

 

トップページ商品カテゴリお支払・配送について運営者の紹介お問い合わせ会員登録カートの中
商品検索
キーワード
会員専用ページ
メールアドレス
パスワード

商品カテゴリ
ボートパーツ > ストレッチャー > シューズプレート/カーボン/センター三角(14mm)
商品詳細

シューズプレート/カーボン/センター三角(14mm)


211
Narrow

1X用

WinTechのセンター三角留めストレッチャー用のカーボンシューズプレートです。取付穴が長穴なので、シューズのアングルを好みに応じて変更できます。 ※4つ穴基本寸法:【Nikeタイプ】

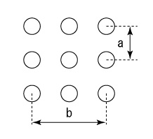
※穴の縦間隔が【 14mm 】です。
※佐賀・滋賀・青森・宮崎国スポ使用艇には使用できません。

商品番号 wd211
商品名 シューズプレート/カーボン/センター三角(14mm)
販売価格 5,280円
税別価格 4,800円
備考 WinTech

種類:
数量:

 

 

a

b

プレート幅

 Wide

14mm

45mm

260mm

 Narrow

14mm

45mm

245mm

 1X用

14mm

30mm

240mm


Narrow ・・・ 主に2X、4X整調用

Wide  ・・・ 主に4X、8+用
 


Narrow、Wide 45mm 1X用 30mm